科研计算器 | 超短激光脉冲的展宽以及如何计算材料的时间色散
2024.09.11
引言
超短激光脉冲,通常指脉冲持续时间在皮秒或飞秒量级的激光脉冲,具有极高的峰值功率和极短的作用时间,广泛应用于科学研究和工业应用中。
色散是指不同波长的光在介质中传播速度不同的现象,因此所含波长成分越多,光谱越宽的激光脉冲,色散的控制变得尤为重要。色散在超短激光脉冲传播过程中发挥着重要的作用,会改变脉冲的传播速度、脉冲形状、峰值功率和时间特性,例如:一个傅里叶变换极限的脉冲引入色散后会在时域上展宽。
 
各阶色散的解释
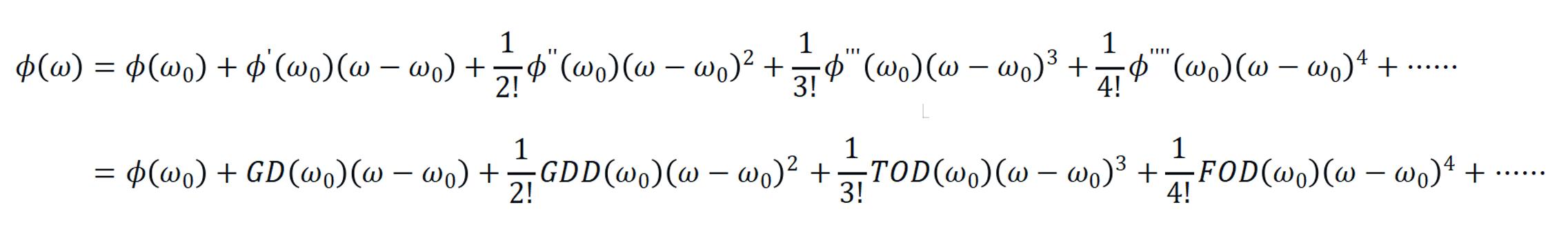
光具有波粒二象性,当用波动方程在数学上描述光时,光脉冲是由波幅和光相位组成:

在色散介质中传播时,光谱相位Φ(ω)会发生改变,把相位Φ(ω)在ω0中心频率处展开为泰勒级数,各项导数用来系统描述脉冲的色散。
 
相位Φ(ω)对中心频率ω0的一阶Φ'(ω)、二阶Φ''(ω)、三阶Φ'''(ω)、四阶Φ''''(ω)导数分别命名为群延迟(GD)、群延迟色散(GDD)、三阶色散(TOD)、四阶色散(FOD)。第一项Φ(ω)为绝对相位,确定了光电场振荡的起始位置。GD是各频率分量在色散介质中的传播时间,确定了光电场包络的相移。通常,常数项Φ(ω)和GD对脉冲形状没有影响。而二阶甚至更高阶色散则对光脉冲时间形状调制。
 
色散对脉冲形状影响的模拟
下面的图中展示了各阶色散对光脉冲调制的仿真结果。图中左列是为800 nm中心波长频谱图(橘线)与对应的群延迟GD值(蓝线),右列红色线是光脉冲在时域的归一化强度图。图(a)是平坦相位,即恒定的GD,获得傅里叶变换极限脉冲。图(b)中引入100fs2的二阶色散GDD,光脉冲在时域被展宽,展宽光波的峰值强度变得比在变换极限脉冲中弱。啁啾脉冲放大技术(CPA)就是一种将GDD引入变换限制脉冲以抑制峰值强度低于损伤阈值的技术。图(c)是引入1000fs3的三阶色散TOD后相应的光波,脉冲末端接会有振荡尾波出现。图(d)在变换极限脉冲中引入7000fs4的四阶色散FOD,造成脉冲两侧出现了比较宽的底座。


 

色散对光脉冲的影响。具有群延迟(GD)曲线的高斯光谱和相应的模拟光脉冲。(a):傅里叶变换极限脉冲,(b):GDD=100fs2,(c):TOD=1000fs3,(d): FOD = 7000fs4

一般来说,偶数阶色散会导致脉冲时域形状的对称变化,将脉冲能量分配到基座上,而奇数阶色散则会导致脉冲包络的不对称变化和基座的强调制。
 
波量计算器中《超短激光脉冲的展宽》,用于计算在高斯型脉冲中引入二阶色散后的脉宽变化。
对于时域形状为理想高斯型的脉冲,其含时域的复振幅表示为:


 

计算器的使用例子:
当入射激光脉冲为10fs,出射激光脉冲为10ps时,

 

 


材料的时间色散:
用于脉冲时间色散管理的设备有很多,包括透明材料、棱镜对、光栅对、棱栅对以及啁啾镜。其中用透明材料提供色散是最简单的方式,但是一定长度下材料的各阶色散值是固定的,具有不可变性。
脉冲在透明介质中传播的光谱相位可以表示为:


 
 
式中l为透明介质的厚度,n(ω)为材料随波长变化的Sellmeier折射率公式,例如BBO晶体的折射率公式及曲线如下左图:


 


以元器件中常见的融石英材料为例,首先选择需要计算的材料(比如UVFS),然后根据我们实际使用的激光波长(800nm)和光路中经过的总材料厚度(以常见的一英寸镜片厚度6.35mm为例),可以得到该镜片对后面光路的色散影响。

 

而且一般我们只关注二阶色散的数值,二阶色散是脉冲传播过程中最主要的色散效应。它描述了不同频率分量的群速度差异,导致脉冲在传播时展宽。高阶色散(如三阶、四阶及更高阶)通常比二阶色散的影响要小。因为高阶色散效应与波长的关系更复杂,对脉冲宽度的影响也相对较弱。

 

 


 

点击图片,跳转网页
 
如您在计算器的使用过程中发现有任何问题或错误,请及时与我们联系,我们将及时修改,并且为感谢您的信任与监督,我们特意为您准备了一份“监督奖励”,如有其他需要我们补充添加的也欢迎联系我们,我们非常荣幸可以为各位的科研经历提供些许便利。科研之路,道阻且长,预祝各位专家学者科研顺利,早出成果。