引言:
在激光技术与光学材料领域,Yb因其优异的光学性能和热稳定性,广泛应用于高功率激光器和光学器件的设计中。准确计算Yb的吸收系数对于优化激光器性能、提升能量转换效率具有重要意义。本文将介绍Yb吸收系数的基本概念、计算公式,并介绍一个便捷的在线计算工具,帮助科研人员和工程师高效完成相关计算。
概念:
吸收系数(α)是衡量材料吸收光能能力的参数,单位通常为cm⁻¹ 。对于Yb这样的激光增益介质,吸收系数决定了激光泵浦光在材料中的吸收效率,进而影响激光器的输出功率和效率。
吸收率(Absorption Rate)表示光在材料中被吸收的百分比,反映了材料对光能的利用程度。高吸收率意味着更多的泵浦能量被有效吸收,提升了激光器的整体性能。
计算公式:
Yb吸收系数的计算基于以下公式:
|
1.吸收系数(α)的计算:α=σαxNg
|
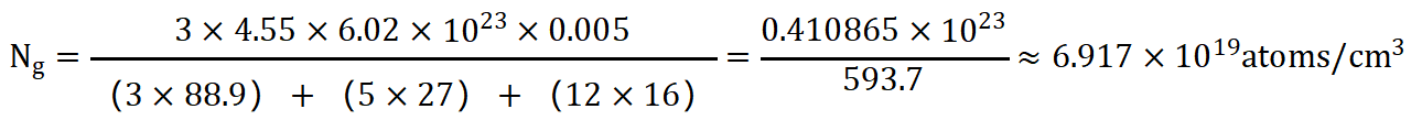
2.掺杂浓度(Ng)的计算:
|
|
|
|
|
|
实例计算:
假设我们有以下参数:
-
掺杂浓度 dopingLevel=0.5%
-
晶体厚度 crystalThickness=1.0cm
|
1.掺杂浓度转换: ![]() |
2.计算掺杂浓度(Ng): ![]() |
|
|
3.计算吸收系数(α): ![]() |
4.计算吸收率: ![]() |
|
![]() |
结果:
|
点击图片,跳转网页
如您在计算器的使用过程中发现有任何问题或错误,请及时与我们联系,我们将及时修改,并且为感谢您的信任与监督,我们特意为您准备了一份“监督奖励”,如有其他需要我们补充添加的也欢迎联系我们,我们非常荣幸可以为各位的科研经历提供些许便利。科研之路,道阻且长,预祝各位专家学者科研顺利,早出成果。
智能助手







