科研计算器 | 非线性B积分计算
2025.04.16
引言
在激光物理和非线性光学领域,B积分(B-integral)是一个重要的无量纲参数,用于量化激光在非线性介质中传播时累积的非线性相位变化。当激光强度较高时,介质的折射率会随光强变化,导致光束自聚焦、频谱展宽甚至光学损伤。因此,在高功率激光系统设计、超快光学和光通信等领域,B积分的计算和控制至关重要。
本文将通过解析B积分的物理概念、计算公式、使用方法及实例分析,帮助读者理解其作用,并掌握如何利用在线计算工具进行快速估算。
概念
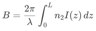
什么 是B积分?
B积分描述了激光在非线性介质中传播时,由于光学克尔效应(Kerr Effect)引起的非线性相位变化。其定义式为:
使用方法
输入参数
1.波长(λ):激光的波长,如1064 nm(Nd:YAG激光)、800 nm(钛宝石激光)等。
2.非线性折射率(n₂):取决于材料,如熔融石英(Fused Silica)在1064 nm下约为2.74×10⁻¹⁶ cm²/W。
3.光强(I):激光的峰值功率密度,如1 GW/cm²。
4.材料长度(L):激光在介质中的传播距离,如10 mm。
计算步骤
1.输入波长、n₂、光强和材料长度。
2.点击计算按钮,系统自动进行单位换算并计算B积分。
3.结果输出,如 B=1.234
参考数据
计算器通常附带常见材料的n₂参考值,例如:
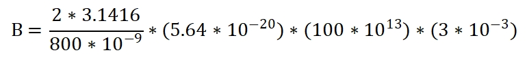
计算步骤:
1.单位换算:
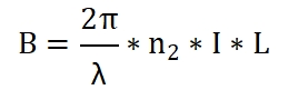
2.代入B积分公式

3.分步计算:
计算
:
计算n2×I×L:
计算B积分:
结语
B积分是评估激光非线性效应的重要工具,广泛应用于高功率激光系统设计、非线性频率转换和超快光学研究。通过在线计算器,工程师和研究人员可以快速估算B积分,优化光学系统参数,避免非线性效应带来的不利影响。
在实际应用中,还需考虑光束空间分布、色散效应和材料损伤阈值等因素,但B积分仍是一个直观且实用的初步评估指标。
如您在计算器的使用过程中发现有任何问题或错误,请及时与我们联系,我们将及时修改,并且为感谢您的信任与监督,我们特意为您准备了一份“监督奖励”,如有其他需要我们补充添加的也欢迎联系我们,我们非常荣幸可以为各位的科研经历提供些许便利。
科研之路,道阻且长,预祝各位专家学者科研顺利,早出成果。
在激光物理和非线性光学领域,B积分(B-integral)是一个重要的无量纲参数,用于量化激光在非线性介质中传播时累积的非线性相位变化。当激光强度较高时,介质的折射率会随光强变化,导致光束自聚焦、频谱展宽甚至光学损伤。因此,在高功率激光系统设计、超快光学和光通信等领域,B积分的计算和控制至关重要。
本文将通过解析B积分的物理概念、计算公式、使用方法及实例分析,帮助读者理解其作用,并掌握如何利用在线计算工具进行快速估算。
概念
什么 是B积分?
B积分描述了激光在非线性介质中传播时,由于光学克尔效应(Kerr Effect)引起的非线性相位变化。其定义式为:

单位换算
- 实际计算时,输入参数的单位可能不同,需进行转换:
- 波长λ:通常输入单位为nm,计算时需转换为m(×10-9)
- 非线性折射率n2:通常输入单位为cm2/W,计算式需转换为m2/W(×10-4)
- 光强I:通常输入单位为GW/cm2,计算时需转换为W/m2(×1013)
- 长度L:通常输入单位为mm,计算时需转换为m(×10-3)
使用方法
输入参数
1.波长(λ):激光的波长,如1064 nm(Nd:YAG激光)、800 nm(钛宝石激光)等。
2.非线性折射率(n₂):取决于材料,如熔融石英(Fused Silica)在1064 nm下约为2.74×10⁻¹⁶ cm²/W。
3.光强(I):激光的峰值功率密度,如1 GW/cm²。
4.材料长度(L):激光在介质中的传播距离,如10 mm。
计算步骤
1.输入波长、n₂、光强和材料长度。
2.点击计算按钮,系统自动进行单位换算并计算B积分。
3.结果输出,如 B=1.234
参考数据
计算器通常附带常见材料的n₂参考值,例如:

计算步骤:
1.单位换算:
- 波长 λ=800nm=800×10−9m
- 非线性折射率 n2=5.64×10−16cm2/W=5.64×10−20m2/W
- 光强 I=100GW/cm2=100×1013W/m
- 长度 L=3mm=3×10−3m
2.代入B积分公式


3.分步计算:
计算
:
计算n2×I×L:

计算B积分:

![]() |
![]() |
结语
B积分是评估激光非线性效应的重要工具,广泛应用于高功率激光系统设计、非线性频率转换和超快光学研究。通过在线计算器,工程师和研究人员可以快速估算B积分,优化光学系统参数,避免非线性效应带来的不利影响。
在实际应用中,还需考虑光束空间分布、色散效应和材料损伤阈值等因素,但B积分仍是一个直观且实用的初步评估指标。
如您在计算器的使用过程中发现有任何问题或错误,请及时与我们联系,我们将及时修改,并且为感谢您的信任与监督,我们特意为您准备了一份“监督奖励”,如有其他需要我们补充添加的也欢迎联系我们,我们非常荣幸可以为各位的科研经历提供些许便利。
科研之路,道阻且长,预祝各位专家学者科研顺利,早出成果。
div > div >
智能助手

