科研计算器丨BBO三倍频相位匹配角
2025.05.08
引言
在超快激光领域,倍频技术能够将红外或可见光转换为更短波长的紫外光,从而拓展应用范围。BBO(β-硼酸钡)晶体因其宽透过带、高损伤阈值而被广泛用于二倍频、三倍频等非线性光学过程。要获得高效的三倍频输出,必须精确地切割晶体,使其满足相位匹配条件。
概念
相位匹配(Phase Matching):在晶体中,不同频率的光波需要保持相同的相速度,从而避免相位差累积导致效率下降。
Type I 三倍频:基频光和二倍频光均为普通光(o 光),产生的三倍频光为非常光(e 光)。
Sellmeier 方程:经验公式,用于描述晶体折射率与波长的关系。
计算公式
使用方法
在网页输入框中填写基频波长(单位:nm),如1030nm。
将其转换为微米:
根据Sellmeier方程计算no(1.03),no(0.515),ne(0.3433)。
通过数值方法(如二分法)寻找φ∈[0°,90°]使得相位匹配公式成立:
将求得的φ转换为度数,即为所需晶体切割角。
实例解析(基频 λ₀ = 1030 nm)
1.波长转换

2.计算普通光折射率
对1.03μm:
对0.515μm(二倍频基波):
对0.3433μm(三倍频基波):
3.计算非常光折射率(λ/3)
4.求目标有效非常光折射率
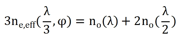
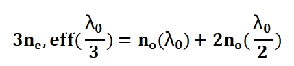
5.代入有效非常光折射率公式
在
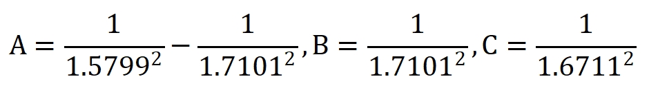
λ=0.3433μm处,令ne=1.5799,no=1.7101,
6.化简求sin2φ
7.解出切割角
结语
掌握相位匹配角的计算方法,能够为超快激光倍频实验提供理论指导。尽管理论计算给出参考角度,但在实际实验中仍需微调,以补偿晶体批次差、温度变化等因素。结合专业模拟软件(如 SNLO)可进一步优化参数,提升转换效率。
在超快激光领域,倍频技术能够将红外或可见光转换为更短波长的紫外光,从而拓展应用范围。BBO(β-硼酸钡)晶体因其宽透过带、高损伤阈值而被广泛用于二倍频、三倍频等非线性光学过程。要获得高效的三倍频输出,必须精确地切割晶体,使其满足相位匹配条件。
概念
相位匹配(Phase Matching):在晶体中,不同频率的光波需要保持相同的相速度,从而避免相位差累积导致效率下降。
Type I 三倍频:基频光和二倍频光均为普通光(o 光),产生的三倍频光为非常光(e 光)。
Sellmeier 方程:经验公式,用于描述晶体折射率与波长的关系。
计算公式
普通光折射率:
![]() |
非常光折射率:其中,![]() |
有效非常光折射率:φ为晶体切割角(光轴相对晶面法线的角度)![]() |
三倍频相位匹配条件:![]() |
使用方法
在网页输入框中填写基频波长(单位:nm),如1030nm。
将其转换为微米:

根据Sellmeier方程计算no(1.03),no(0.515),ne(0.3433)。
通过数值方法(如二分法)寻找φ∈[0°,90°]使得相位匹配公式成立:
将求得的φ转换为度数,即为所需晶体切割角。
实例解析(基频 λ₀ = 1030 nm)
1.波长转换

2.计算普通光折射率
对1.03μm:
对0.515μm(二倍频基波):
对0.3433μm(三倍频基波):
3.计算非常光折射率(λ/3)
4.求目标有效非常光折射率
|
相位匹配条件:
![]() |
![]() |
5.代入有效非常光折射率公式
在
6.化简求sin2φ
![]() |
![]() |
7.解出切割角
![]() |
![]() |
结语
掌握相位匹配角的计算方法,能够为超快激光倍频实验提供理论指导。尽管理论计算给出参考角度,但在实际实验中仍需微调,以补偿晶体批次差、温度变化等因素。结合专业模拟软件(如 SNLO)可进一步优化参数,提升转换效率。
div > div >
智能助手









